• 分享 :

  • in
  • f
  • g
  • y
  • t
行业知识
首页 /

行业知识

/长纤增强热塑性塑料(LFT)特点与优势

长纤增强热塑性塑料(LFT)特点与优势

2021-09-27

1. LFT特点与优势

  • 突出的力学性能

  • 高缺口冲击强度

  • 蠕变趋势减小

  • 收缩率减小、低翘曲

  • 各向异性减小

  • 尺寸稳定性提高

  • 在宽温度范围和气候条件下非常好的稳定性

  • 抗动态疲劳性能优异

  • 热膨胀系数与金属相当


2. PP+GF纤维长度的影响


不连续纤维增强热塑性塑料的失效机理 :

图片


3. 制件失效过程中的影响因素


图片


4. 纤维骨架提供了良好性能


图片


5. SFT、LFT 典型性能比较


图片


6. SFT PP 和 LFT PP 典型性能比较


图片


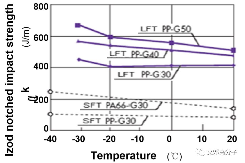
7. LFT 低温冲击性能的提高


图片


8. 弯曲模量-简支梁冲击强度关系对比


图片


LFT 的蠕变减小:

图片


蠕变曲线对比:

图片

图片

图 弯曲蠕变模量-时间关系对比


9.70℃时拉伸疲劳试验结果


Stress amplitude

Number of cycles until failure of

MPa

PP+40%GF LFT

PP+40%GF SFT

80

14

1

60

300

66

50

871

182


10. 弯曲疲劳试验结果


图片


11. 穿刺试验的应力-变形曲线


图片


比短玻纤增强材料翘曲更小:


图片


12. 各向异性减小


图片


13. 不同温度下 LFT PP 和 SFT PA的刚性比较


图片


14. 热膨胀系数与金属相当


图片


15. LFT 相对SMC/BMC 的优势


SMC:片状模塑料

BMC:团状模塑料

SMC/BMC为热固性塑料,难以回收,由于环境保护的压力,逐渐被热塑性的GMT/LFT 取代。


16. LFT与 与GMT的对比


GMT:玻纤毡增强热塑性塑料


GMT的生产工艺是以PP和玻纤毡用层压法或湿法生产出GMT片材定型后储存。零件加工厂购买GMT片材后需预热、模压、后处理。GMT的模压工艺成型周期一般在3分钟左右,生产周期长,后处理工作比较多,浪费较 大。由于受压时流动等原因,GMT制品中玻纤的分布不均匀,尤其在薄壁处或边角处玻纤含量低,导致局部强度不够。而通常边角处需要打孔装配,需要做后处理。


采用LFT-G颗粒料进行注塑成型加工,由于注塑模具比模压模具具有更高的精确度和设计自由度,可以加工前端组件、仪表板骨架等结构复杂有多个嵌件或孔位的部件。生产效率高,材料浪费少。


采用LFT-D在线直接模压成型,成型周期一般不超过60秒,而且省去储存、 运输费用,原材料成本低,生产效率高。


由于综合成本降低,欧洲北美市场出现GMT下降而LFT上升的趋势。


LFT

CMT

成型方法

注塑、压塑、压注、挤出

压塑

加工周期

短, ,生产调整(如更换产品)快

优点

制件设计自由,不需要后机械加工
均一的玻纤含量
生产回料可以方便地马上回收再利用
所需生产空间小
有竞争力的成本

优异的冲击强度

缺点

需要模具设计

有限的轻量化
成本较高


17. 玻纤增强塑料和轻金属的密度对比


18. LFT替代金属实例


车型:FORD, Fiesta (欧洲款,两门及四门)

SOP:2002年1季度

部件:Door Module

加工厂:Faurecia

产量:500000台/ /年

材料: LFT   PP+30%GF

加工方法:注塑成型

材料

厚度

重量

相关材料成本

相关投资系数

部件相关成本

功能集中性

0.8mm

3.9Kg

0.8

1.6

1.2

LFT

2.5-3.5mm

2Kg

1

1

1


来源:艾邦高分子&金发科技


通讯

-- 获取包含最新主题的更新

版权所有 © 2015-2026 长纤(厦门)新材料科技有限公司.所有权利保留. 提供者 dyyseo.com

首页

产品

新闻资讯

联系